Abaqus中能量吸收器的压碎

2025年12月24日 阅读时间:7分钟
分享

概述

本项目旨在对薄壁铝制能量吸收器在轴向压缩下的压溃行为进行建模和分析。目标是评估其变形响应和能量吸收能力,这两者是碰撞安全性设计中的关键因素。.

能量吸收器,也称为碰撞盒,在车辆中发挥着至关重要的作用。碰撞发生时,它们吸收大部分冲击能量,保护底盘免受损坏,最重要的是,确保乘客安全。下图展示了车辆底盘中的碰撞盒示例。.

Abaqus建模

零件和组装

我们将能量吸收器建模为一个薄壁盒,其横截面为80×80毫米的正方形,高度为400毫米。我们采用壳挤压法将该结构表示为壳体部分。.

两个独立的刚性平面壳体,每个尺寸为 160 × 160 mm,代表刚性板。模拟将盒子置于这两个板之间,并通过将上板向下移动到结构上施加挤压。.

注意: 在 Abaqus,刚体零件需要一个参考点来计算反作用力。该参考点必须在零件模块中定义,而不是在装配体中。由于我们这里使用的是显式求解器(如下所述),因此需要为参考点赋予惯性矩。惯性矩的具体数值不会影响反作用力的计算。

材料和截面

我们采用2011铝材制作能量吸收器,其主要特性如下:

  • 杨氏模量:71.7 GPa

  • 泊松比:0.333

  • 屈服强度:169兆帕

  • 密度:2700 kg/m³

塑性行为被建模为线性行为。.

壳体厚度设置为 2 毫米,偏移量位于中面。.

 

动态显式步骤

在本分析中,我们选择动态显式求解器。与隐式求解器不同,显式求解器考虑了惯性力,并且采用不同的方法来求解矩阵方程。显式求解器使用许多小的离散时间增量来计算响应,并逐步推进直至仿真结束。工程师通常使用显式求解器来模拟大变形、复杂的接触相互作用、高加载速率或材料失效。.

由于惯性力的存在,在材料模型中定义密度非常重要,并且还要为刚性部件赋予惯性。.

值得一提的是, Abaqus 会根据最小单元的尺寸和波速(取决于材料属性)来计算稳定时间增量。时间增量越小,模拟完成所需的时间就越长。.

我们通过人为地增加单元质量来实现质量缩放,这可以通过直接引入质量缩放因子或设定目标时间增量来实现。这里,我们使用的目标时间增量为 1E-6 秒。

 

边界条件和相互作用

我们将盒子底部固定住。在固定所有其他自由度的同时,我们对顶板施加了 y方向 -300 毫米的位移(结构压缩 75%),并将底板完全固定。

注意:在显式模拟中指定位移时,应定义位移增加的振幅。本项目中,位移应呈线性增长,因此我们使用表格数据。.

交互方式为通用联系方式。.

关于其特性,考虑了摩擦系数为 0.4 的切向行为和硬接触的法向行为。.

 

考虑种子大小为 5,并使用 S4R 元素。.

S4R单元是具有简化积分的4节点壳单元。.

结果与解释

下图显示了变形后的压扁箱子。

在下面的动画中,我们可以看到当顶板压扁箱子时,箱子是如何弯曲变形的。.

从场输出数据中,我们可以提取力和位移。力-位移曲线已在Excel中绘制出来。.

在压溃过程中,能量吸收器在屈服前会先达到一个峰值力。然后力会略微下降,并在平均值附近波动,这构成了 平台区 力-位移曲线的

平台区每次力下降都对应于柱体在压碎过程中的一次屈曲(如动画所示)。.

绩效评估

关于能量吸收器的性能,有许多指标可供使用。其中两个重要的指标是 压溃力效率比能量吸收率

压碎力效率

在挤压过程中,能量吸收器应限制初始峰值力,以避免过大的载荷传递至车厢和乘客。较高的初始峰值力会增加冲击力的传递。高效的能量吸收器可将平台区的挤压力维持在与初始峰值力相当的水平,从而确保能量的逐步吸收并提高乘客安全。挤压力效率 (CFE) 定义如下:

Fmax 是初始峰值力,EA 是吸收的总能量,d-total 是破碎过程中的总位移。.

CFE 值范围为 0 到 1。CFE 为 0 表示性能最差,CFE 为 1 表示性能最佳。.

比能量吸收

比能量吸收率决定了结构是否轻便,其定义如下:

EA 再次表示总能量吸收,质量表示结构的总质量。.

SEA 值大于 20 是可以接受的,表明该结构较轻。.

我们如何从力-位移曲线中找到这些值?

我们已经从 Abaqus提取的数据中得到了最大力。我们只需要计算吸收的能量。吸收的能量本质上是力-位移曲线下的面积。Abaqus Abaqus 以若干等间隔的时间间隔输出结果。时间间隔可以在提交作业之前在字段输出选项中指定。力-位移曲线实际上类似于下图所示的曲线。.

可以将曲线分解成梯形。下图显示了一个梯形:

利用梯形积分法计算吸收能量

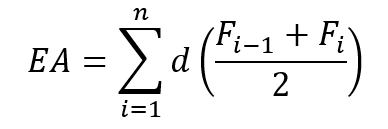
然后,我们可以简单地计算每个梯形的面积,并将它们相加,从而得出吸收的总能量。公式可以简写为:

其中,Fi 表示时间间隔 i 处的力,d 表示每个时间间隔内的位移,该位移可直接从位移数据中得出,或者直接用总位移除以时间间隔数得出(需要注意的是,在上述公式中,F0 为 0)。在本例中,总位移为 300 mm,时间间隔为 20,由此得出:

因此,我们可以计算出总吸收能量如下:

结果:吸收能量和SEA计算

对于我们的能量吸收器而言,EA 值为 9.8 kJ,对于轻微碰撞来说,这是一个不错的值。.

质量为 346 克,即:

这说明该结构很轻巧。.

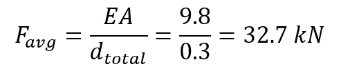
我们还可以按如下方式计算 Favg:

计算压碎力效率(CFE)

我们还可以计算压溃力效率 (CFE),以评估吸收器处理冲击能量的平稳程度。.

初始峰值力为 44.7 N,我们可以计算 CFE:

CFE 为 0.73 是可以接受的,表明该结构能够吸收大部分冲击力,从而确保乘客安全。.

结论

我们利用 Abaqus的显式求解器成功地对薄壁铝制能量吸收器的压溃行为进行了建模和分析。结果表明,压溃力效率和比能量吸收均具有可接受的性能值,表明其具有良好的能量吸收能力和乘客安全保障。.

在实际汽车应用中,能量吸收器的几何形状和材料都可能更加复杂。使用复合材料或特殊合金,以及采用蜂窝状、晶格状或负泊松比结构,或其他任何专门针对能量吸收优化的复杂几何形状,都可以显著提高能量吸收器的性能。.

卡莱格·库希-拉克
Khalegh Kouhi-Lakeh 的最新文章 查看全部
订阅
通知
客人

0 评论
最老
最新 最受欢迎
内联反馈
查看所有评论
0
欢迎留言分享您的想法